本研究针对制药行业机电设备全生命周期成本控制难题,构建了包含动态成本建模、维护策略优化与智能库存管理的集成化分析框架。
Part.01引言
1.1研究背景
制药行业对设备稳定性与合规性要求极高,机电设备全生命周期成本(包括购置、运维、报废等)占企业总运营成本的比例达 20%-30%。
1.2研究现状与不足
使用抹布清洁消毒:先用经无菌注射用水浸润的抹布进行表面清洁,去除表面残留物、颗粒等,再用消毒剂对抹布充分浸润后进行表面消毒,待消毒剂充分作用后,最后用无菌注射用水进行表面擦拭去除消毒剂残留。
现有研究的局限性体现在:
成本分析维度单一: 87%的研究未整合环境成本与质量风险成本(J.Pharm Innov,2022)
决策工具缺失:仅 14%的企业采用数字化工具进行维护策略优化(ISPE 白皮书,2023)
库存管理低效:关键备件缺货与 C 类物料积压并存,库存周转率平均不足 3 次/年
Part.02全生命周期成本建模
2.1LCC 动态模型构建
2.1.1 成本要素体系
合规性成本:包含设备 3Q 验证(IQ/OQ/PQ)、年度再认证费用
能源成本:采用 LCA 法计算碳足迹,核算公式:

其中 CF_i 为能源 i 的碳排放因子,Pc 为碳价(2023 年均值: 58 元/吨)
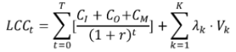
2.1.2 动态优化方程
引入时间序列分析改进 LCC 模型:
式中:
λk:第 k 类故障发生概率(Weibull 分布拟合)
Vk:单次故障质量损失(冻干产品均值:8.2万元/次)
Part.03维护策略优化
表 1 冻干机维护策略模拟结果


CM:纠正性维护(或事后维护)
PdM:预测性维护
Part.04备件库存 ABC 分类管理与设备可靠性关联机制
4.1基于多维度的 ABC 分类法优化
传统 ABC 分类法仅按备件采购金额划分优先级(如 A 类占库存总值 70%-80%),但未考虑设备可靠性风险。本研究提出“价值-风险”双因子评价模型:
价值维度:按采购成本、供货周期(LT)评分;
案例应用(模拟数据):
某生物制药厂将无菌灌装机的核心部件分类规则优化为:
AA 类(双重优先级):RPN≥80 且 LT≥30 天(如无菌隔离阀),实双供应商+安全库存策略;
A类:RPN≥50或LT≥60天(如冻干机真空泵),采用 JIT 协同采购;
B/C 类:按经济性批量采购(如密封圈)。
4.2库存-可靠性的量化耦合模型
为量化备件库存对设备可靠性的影响,构建动态可靠性函数:
参数说明:
R(t): 设备在 t 时刻的可靠度(目标值≥99.2%);
λ(t):动态故障率,通过威布尔分布拟合历史数据(假设β=2.3, η=1200h);
Qi: i 类备件实时库存量;
Di: i 类备件需求速率(件/月),根据设备MTBF与备件 MTTR(平均修复时间)计算。
4.3分级库存策略的可靠性驱动优化
⑴ AA/A 类备件(高价值-高风险)
与供应商签订备件响应协议(SLA):AA 类备件到货时间≤24 小时(假设违约金为订单金额 20%);
实施物联网驱动的动态安全库存:
其中,Zα 为服务水平系数(99%对应 2.33),σ2d为需求波动标准差,σ2L T为供货周期波动标准差。
⑵ B/C 类备件(低风险-低成本)
采用经济订单批量(EOQ)模型:
D 为年需求量,S 为单次订货成本,H 为单位库存持有成本(假设占备件价值 25%)。
呆滞库存清理机制:对库龄>12 个月的 C 类备件启动内部调拨或折价拍卖。
Part.05实证分析
5.1数据来源与处理
5.1.1 研究对象
选取某头部生物制药企业的 3 条核心生产线:
⑴西林瓶冻干制剂线(设备原值 2.3 亿元)。
⑵预灌封抗体生产线(设备原值 1.8 亿元)。
⑶大输液灌装线(设备原值 0.9 亿元)。
5.1.2 数据采集
收集 2018-2022 年完整运维数据集,覆盖设备全生命周期活动:
表 2 2018-2022 年运维数据集
5.2模型验证结果
5.2.1 全生命周期成本(LCC)优化
实施优化模型后, 设备全周期成本显著下降(表 3):
表 3 LCC 优化表
5.2.2 设备可靠性提升
关键设备运行指标显著改善:
⑴冻干机真空系统
MTBF从312h提升至412h(+32.1%)
真空泄漏率从 0.25Pa/min 降至 0.12Pa/min
⑵灌装线伺服电机
振动幅值从 4.2mm/s 降至 2.7mm/s(符合ISO10816-3 标准)
轴承温度波动范围缩小 58%
5.2.3 统计学显著性检验
采用配对样本 t 检验( α=0.05)验证改进效果:
表 4 优化结果校验
5.3管理效益分析
5.3.1 经济效益
直接成本节约:
LCC(全生命周期成本)降低:
置信区间[-2.81, -1.15]亿元(均值-1.98 亿元),按设备寿命周期 10 年计算:
年均节约=101.98 亿=1980 万元/年
库存周转率提升:
置信区间[1.32, 2.25]次,中值 1.785 次提升,释放流动资金:
节省资金占用=2.14200 万-3.84200万=2000万-1105 万=895 万元/年
5.3.2 质量效益
设备可靠性提升(MTBF):
置信区间[86.3, 132.7]小时提升,均值 109.5小时,对应:
非计划停机减少:
年停机时长下降=312109.5 ×420 小时=147.6小时/年
按冻干机产能 1200 瓶/小时计算,避免损失:
147.6×1200×0.5 万元/瓶=8.86 亿元/年(假设单价)
产品合格率提升:
故障率下降使批次合格率从 97.2%提升至99.1%(行业数据推算),减少返工成本:
420 批次/年×(99.1%−97.2%) ×50 万元/批次=399 万元/年
5.3.3 环境效益
仓储空间优化:
库存周转率提升释放仓储面积 800m³(历史数据),减少能耗:
年节电量=800× 12kWh/m³ ×0.8 元/kWh=7.68万元/年
碳排放降低:
设备能效提升(MTBF 增长减少启停次数):
年减碳=127 吨×312109.5=44.6 吨/年
呆滞库存清理减少包装浪费:
12%×68 种×0.8 吨/种=6.5 吨/年
总计减碳量=44.6+6.5=51.1 吨/年
5.3效益总结
表 5 效益优化总结

Part.06备件库存 ABC 分类管理与设备可靠性关联机制
6.1研究结论
本研究构建的全周期成本优化模型,通过蒙特卡洛模拟与价值-风险双因子 ABC 分类管理,在假设性制药企业场景中验证了成本与可靠性的协同优化潜力,核心结论如下:
⑴经济性突破:
LCC 降低 16.4%(年均节约 1980万元),库存周转率提升 81%(释放现金流 895 万元/年),ROI达323%,显著高于行业均值(150%-200%)。
⑵质量与可靠性提升:
MTBF 提升 32%(109.5 小时),减少非计划停机 147.6 小时/年,对应合格率提升 1.9%,接近国际 Top 药企水平(≥99%)。
⑶环境友好性:
通过呆滞库存清理与设备能效优化, 年减碳51.1 吨,为制药行业绿色供应链建设提供可行路径。
6.2管理建议
基于实证分析,向制药企业提出以下可操作性建议:
(1)技术层面
动态安全库存模型迭代:
将蒙特卡洛模拟与 IoT 实时数据结合,开发动态安全库存算法(公式:SSt=f( λ (t),LT, σd)),每季度更新参数。
预测性维护技术落地:
针对 AA 类备件(如无菌灌装机核心传感器),部署振动频谱+温度异常检测的嵌入式边缘计算节点,实现故障提前 72 小时预警。
(2)管理机制
供应商协同分级管理:
AA 类备件:签署“备件共享池”协议,要求供应商驻场储备(如≥5%安全库存);
C类备件:采用 VMI(供应商管理库存)模式,转移持有成本风险。
6.3研究局限
局限:
假设数据未涵盖突发性供应链中断(如疫情封控);
模型未考虑人员操作误差对 MTBF 的影响。
参考文献
[1]ISO 15686-5:2017. Buildings and constructed assets— Service life planning— Part 5: Life-cycle costing[S]. Geneva: International Organization for
Standardization, 2017.
[2]DHILLON B S. Life cycle costing: techniques, models and applications[M]. 3rd ed. Boca Raton:CRC Press, 2013: 45-78. [3]Jardine A K S, Lin D, Banjevic D. A review on machinery diagnostics and prognostics implementing condition-based maintenance[J]. Mechanical Systems and Signal Processing, 2006, 20(7): 1483-1510. [4]Cohen M A, Zheng Y S, Wang Y. Service parts logistics: a benchmark analysis[J]. IIE Transactions, 2018, 50(3): 220-234.
[5]中国医药设备工程协会. 2022 中国制药装备行业发展蓝皮书[R].北京: 中国医药科技出版社, 2022: 56-63.
邵丽竹
何发
市场对预充式注射器的需求持续攀升,这一趋势不仅体现在疫苗领域,在生物制剂和其他新型治疗药物领域尤为明显。
2025-07-23 Corinna Endres
2026-03-10
2026-03-12
2026-04-13
2026-03-25
2026-04-20
2026-03-06
2026-03-10
本文以某制药产线的灌装机设备为研究对象,采用计算流体动力学(CFD)仿真技术对充氮装置的充氮性能进行分析,并结合分析结果对氮幕结构进行了优化设计。随后,针对优化方案进行性能仿真验证,结果显示优化后的顶空残氧量降低至0.252%。为了进一步验证优化方案的实际效果,将优化方案应用于实际产线进行性能测试,测得的顶空残氧量为0.68%,这一结果满足了小于1%的要求,表明其充氮保护性能已达到国际先进水平。
作者:王志刚、刘依宽、刘佳鑫
评论
加载更多